Listen on: Apple Podcasts | Spotify | YouTube
Event details:
- Instructors: Dr. Kate Loomis, Dr. Daniel Fienup, and Lilian Morales
- Location: Asynchronous Online
- ACE Learning CEs: 1.0
- ACE Provider: Behavioral Observations, OP-23-10227
- ACE Organizational Coordinator: Matthew J. Cicoria, MS, BCBA
Episode Summary
In this episode, I'm joined by Dr. Daniel Fienup, Dr. Kate Loomis, and Lilian Morales, MA, BCBA, LBA to discuss their recent paper in JABA, Turning the Page: Increasing children's preference for looking at and engaging with books.
In this episode, we explore how books can function as powerful reinforcers for young children, especially in early learning and ABA contexts. We discuss how to identify when books are actually reinforcing, how to condition books as reinforcers if they’re not already, and practical strategies for incorporating them into teaching and behavior support.
Key Topics Covered
1. What Makes Something a Reinforcer?
- Reinforcers are defined by their effect on behavior—not by intention
- A book is only a reinforcer if it increases the likelihood of a behavior
- Preference ≠ reinforcement (must test it)
2. Are Books Naturally Reinforcing?
- For some children: yes (especially those with strong interest in stories, visuals, or routines)
- For others: books may be neutral or even aversive
- Depends on learning history and prior pairing
3. Conditioning Books as Reinforcers
- Pair books with already-established reinforcers (e.g., attention, snacks, praise)
- Make reading interactive and engaging (voices, movement, pointing, questions)
- Start with short durations and build up tolerance/enjoyment
- Follow the child’s lead (let them turn pages, choose books, etc.)
4. Embedding Books into Teaching
- Use books as part of discrete trial or natural environment teaching
- Reinforce responses with brief access to a favorite book
- Incorporate targets into reading (labeling, WH questions, listener responding)
- Use repeated readings to build fluency and predictability
5. Expanding Reinforcer Repertoires
- Why it matters: reduces reliance on edibles or screens
- Books are portable, social, and developmentally beneficial
- Helps build early literacy and joint attention skills
6. Common Mistakes
- Assuming all kids like books
- Using books too long as a reinforcer (loses value)
- Not rotating or updating book options
- Ignoring signs of disengagement
7. Practical Tips
- Keep a small “high-value” book rotation
- Use novelty strategically
- Observe what aspects the child enjoys (pictures, repetition, sensory elements)
- Track what actually increases responding
Takeaways
- Books can absolutely function as reinforcers—but only if conditioned or preferred
- Pairing and engagement are key to building their value
- Using books as reinforcers supports both behavior change and language development
Resources
- Tsai and Greer (2006). Conditioned Observation of Books and Accelerated Acquisition of Textual Responding by Preschool Children.
- Teachers College MA in ABA program.
- Teachers College Ph.D. in ABA program.
- Kanazawa et al. (2024). A comparison of parental attention and preferred items during tummy time: A consecutive controlled case series evaluation.
- D. Ross & R. Douglas Greer (Eds.). (2025). When Text Speaks: Learning to Read and Reading to Learn. Sloan Publishing.
- The Fred S. Keller School.
- Comprehensive Application of Behavior Analysis to Schooling (CABAS).
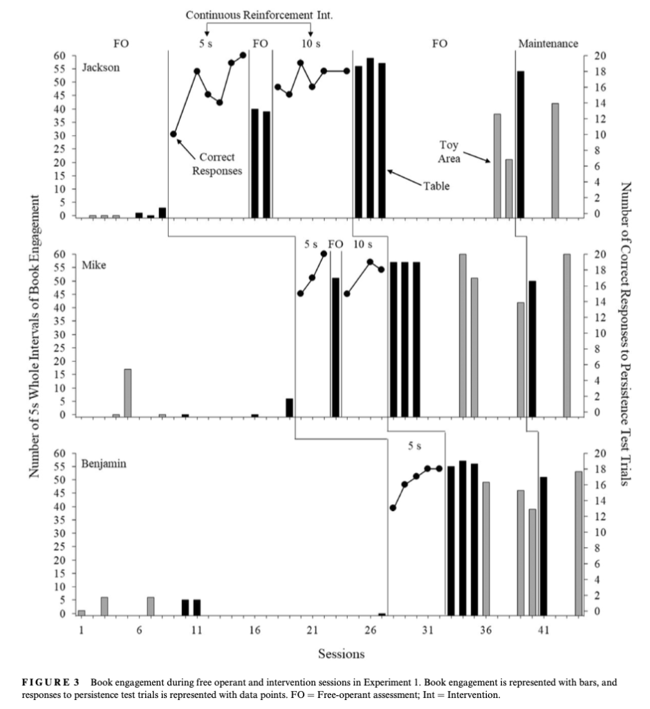
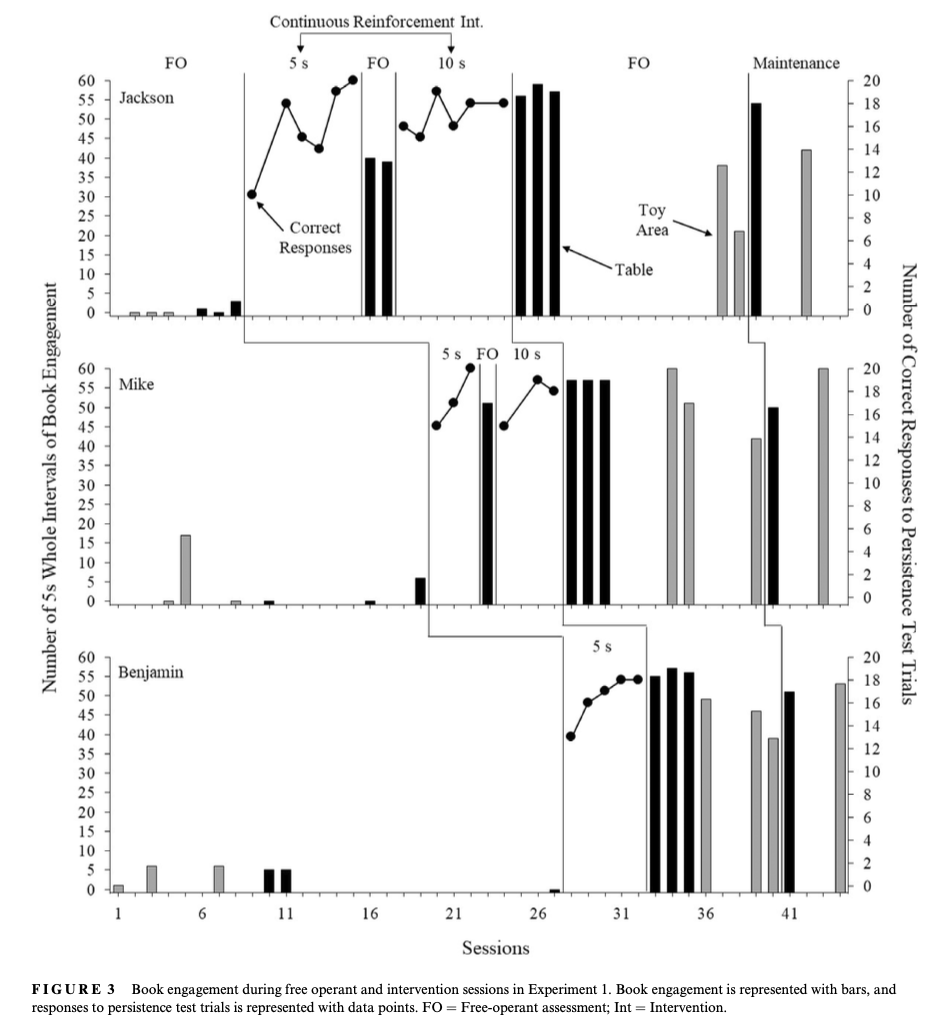
Relevant Figures


You must log in to submit a review.
Remember, you can save a lot when you purchase multiple events!
Session 212: Token Economy 101: Considerations for Research and Practice
Session 212: Token Economy 101: Considerations for Research and Practice Instructor: Tim Hackenberg, Ph.D. CE Offering: 1.5 (note: the first portion of this podcast is a discussion of the instructor’s… Read more »